Ответы
Ответ дал:
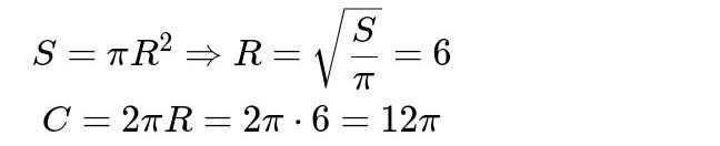
1
Ответ:
сори если не верно
Приложения:

ivahkomax:
Я також це бачила але в мене інша умова
Вас заинтересует
1 год назад
1 год назад
1 год назад
1 год назад
3 года назад
3 года назад
8 лет назад