Ответы
Ответ дал:
1
Ответ:14
Пошаговое объяснение:3*4=12
1/2*4=2
12+2=14
Ответ дал:
0
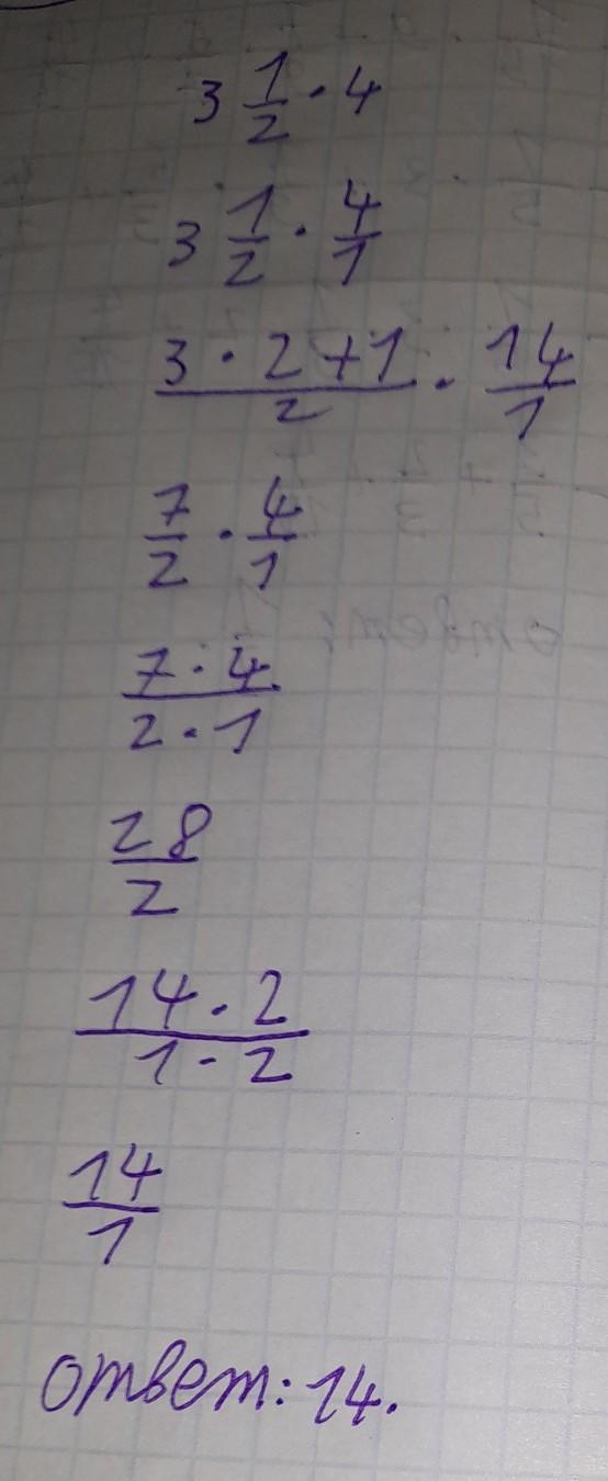
Ответ:
смотри на фото.
Пошаговое объяснение:
Постав лайк пж
Приложения:

Вас заинтересует
1 год назад
1 год назад
1 год назад
1 год назад
3 года назад
3 года назад