Надо задать формулой значение по y. Напишите эту формулу. Кто шарит думаю догадается. Даю много баллов
Приложения:


Ответы
Ответ дал:
0
Ответ:
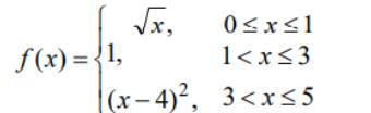
=IF(AND(A2>=0,A2<=1),SQRT(A2),IF(AND(A2>1,A2<=3),1,IF(AND(A2>3,A2<=5),POWER(A2−4,2),0)))
Y для значения ячейки A2 (первого Х)
22032003alex:
чёто неверно пишет
- попробуйте заменить все запятые на точку с запятой
Если ошибка до сих пор, то попробуйте такой вариант
=ЕСЛИ(И(A2>=0;A2<=1);КОРНИ(A2);ЕСЛИ(И(A2>1;A2<=3);1;ЕСЛИ(И(A2>3;A2<=5)) ;СТЕПЕНЬ(A2−4;2);0)))
Вас заинтересует
1 год назад
1 год назад
1 год назад
3 года назад
3 года назад