• Предмет: Математика
  • Автор: dilyqin
  • Вопрос задан 2 года назад

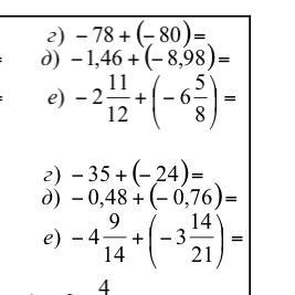
помогите пж срочно решите пж только г)

Приложения:

Ответы

Ответ дал: anya11172
0

Ответ:

г) -35+(-24)=-35-24=-59

Ответ дал: Yura4456
0

Ответ:-78+(-80)=-158

Пошаговое объяснение:

Вас заинтересует