Добрый вечір допоможіть будь ласка. Дам 30 балів і підпишусь. На фото будь ласка зробіть повну розв'язку задачі
Приложения:

Ответы
Ответ дал:
1
Объяснение:
a^2 - 2a +1 a = -1
(-1)^2 - 2 × (-1) +1
1 + 2 +1 =4
Приложения:

Ответ дал:
0
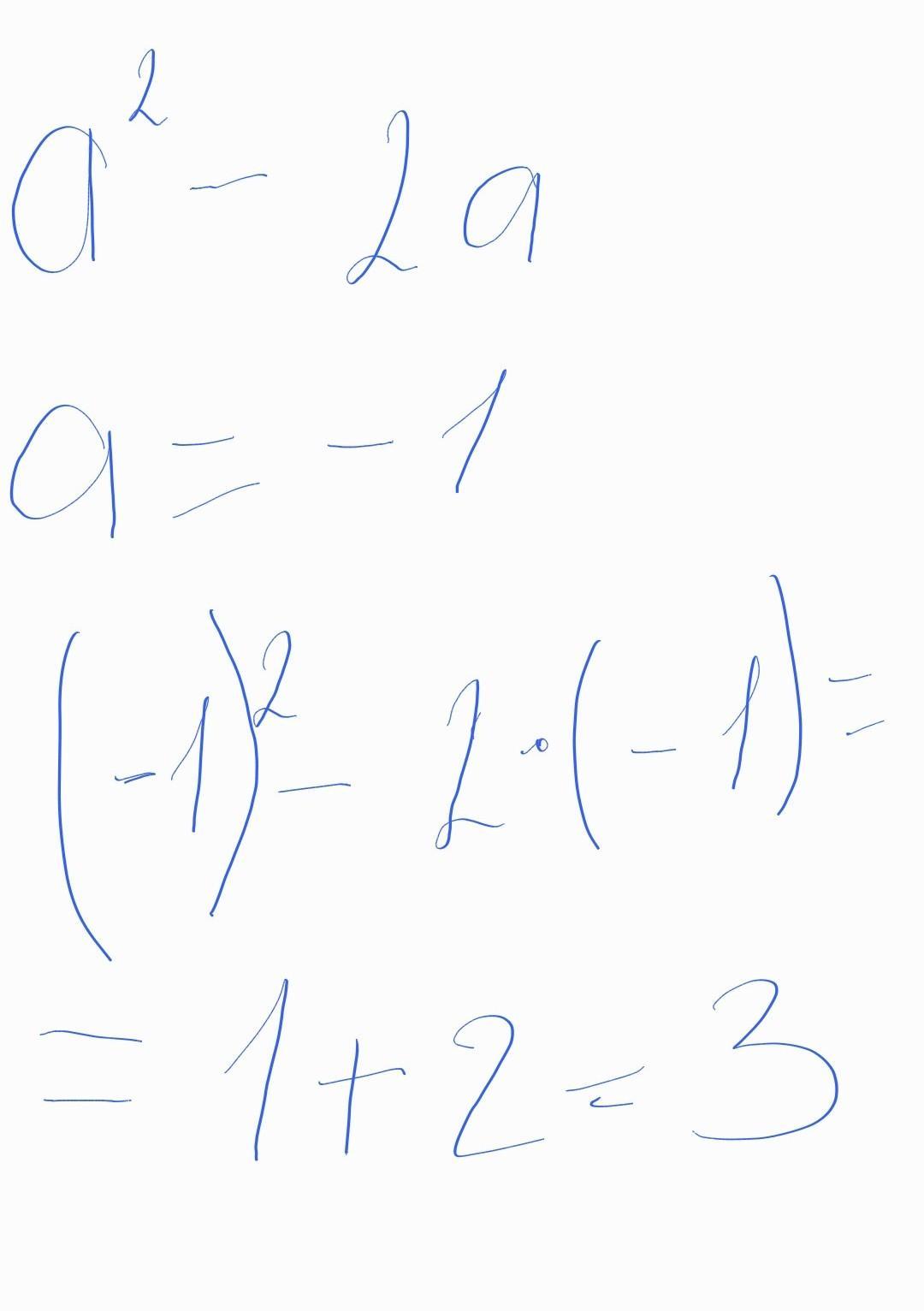
ответ: 3 на слайді роз'яснення )
Приложения:

Вас заинтересует
1 год назад
1 год назад
3 года назад
8 лет назад