С УСЛОВИЕМ ЗАДАЧИ!!!!!!!першу половину шляху автомобіль рухався зі швидкістю 70 км/год,а другу половину - зі швидкістю 100км/год.Знайдіть середню швидкість руху автомобіля
Ответы
Ответ дал:
0
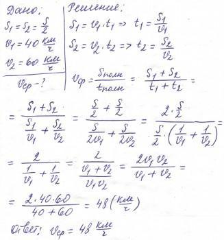
Ответ: надеюсь правильно )
Приложения:

nastaoprysko380:
у меня другие условия....
Вас заинтересует
1 год назад
1 год назад
1 год назад
1 год назад
3 года назад
3 года назад
8 лет назад