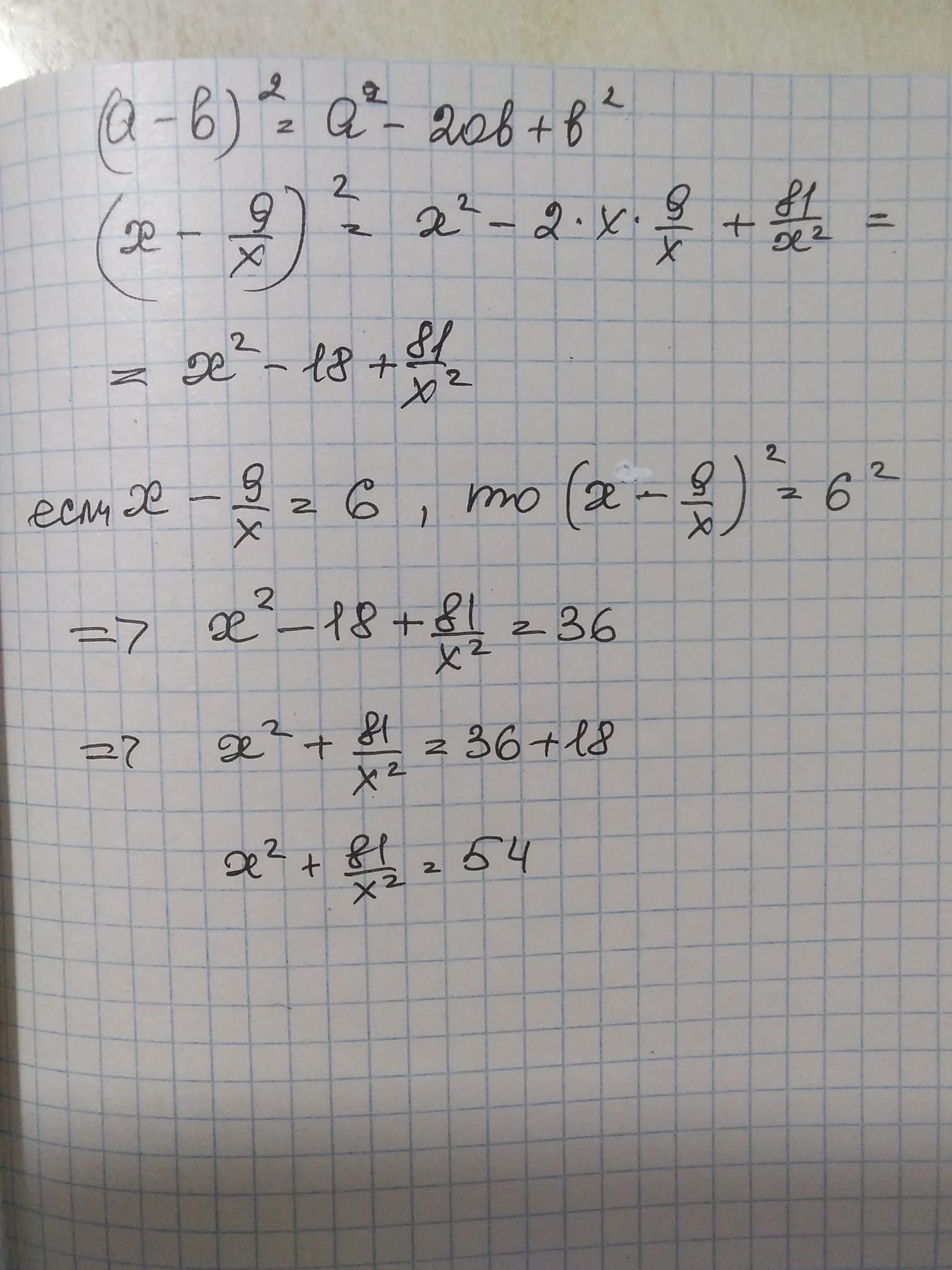
Знайдіть значення виразу х² + 81 / х², якщо відомо х-9/х=6
solomkavoznak180650:
Привіт скіну в інст sawwgurl._
Ответы
Ответ дал:
1
Смотри.........................
Приложения:

Вас заинтересует
1 год назад
1 год назад
1 год назад
3 года назад
3 года назад
8 лет назад