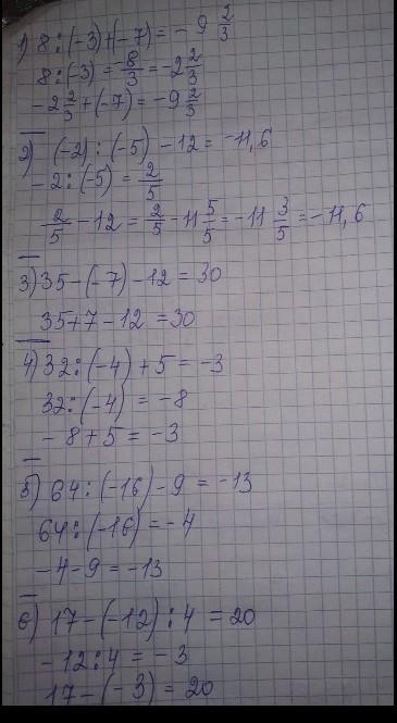
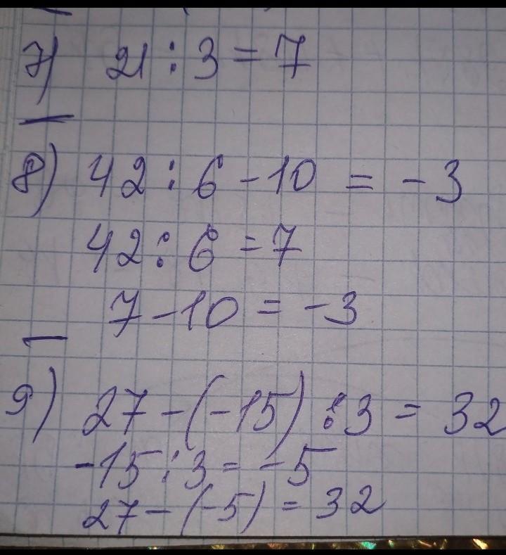
Игра «Кто быстрее ?» • 1) 8 *(-3)+(-7); 2) -2 *(-5)-12; • 3)35-(-7)*6; • 5)64: (-16)-9; ● 7)-21:(-3)-9; 9) 27-(-15):3; • 11)-1/2 *(-4)+4; . 4)32:(-4)+5; 6)17-(-12):4; 8)-42: 6+10; 10) 4/5: (-2/5); 12) (-1/2): (-1/12);
Приложения:

Ответы
Ответ дал:
1
Ответ:
вот!!!!!!!!!!!!!!!!!!!!!!!!!
Приложения:


Вас заинтересует
1 год назад
1 год назад
1 год назад
1 год назад
3 года назад
3 года назад
8 лет назад