• Предмет: Алгебра
  • Автор: feyyyaa
  • Вопрос задан 2 года назад

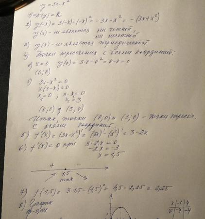
исследовать и нарисовать функцию у=x^4-2x^3-3 по примеру на фото

Приложения:

Ответы

Ответ дал: Matrosik2004
1

Ответ:

Во вложениях <3<3<3<3<3

Приложения:

feyyyaa: спасибоооо огромное тебе))!! лучший просто
Matrosik2004: :)
Вас заинтересует