• Предмет: Алгебра
  • Автор: v81694378
  • Вопрос задан 2 года назад

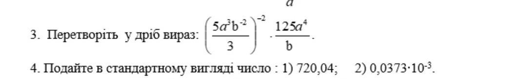
даю 80 баллов!!!!!!!!!

Приложения:

Ответы

Ответ дал: albinkaa099
1

Відповідь: ПРИВЕТИК Я ТЕБЕ ПОМОГУ С ТВОИМ ВОПРОСОМ А ТАКЖЕ РАССКАЖУ ГДЕ ТЫ МОЖЕШЬ РЕШИТЬ ПО АЛГЕБРЕ И МАТЕМАТИКЕ ЛЮБОЙ ВОПРОС ВОТ НАЗВАНИЕ К ЭТОМУ ПРИЛОЖЕНИЮ: PHOTOMATH . Но если тебе не сложно можешь поставить хорошую оценку и лайк решение прикреплю файлом. Удачи

Пояснення:

Приложения:
Вас заинтересует