• Предмет: Алгебра
  • Автор: Аноним
  • Вопрос задан 2 года назад

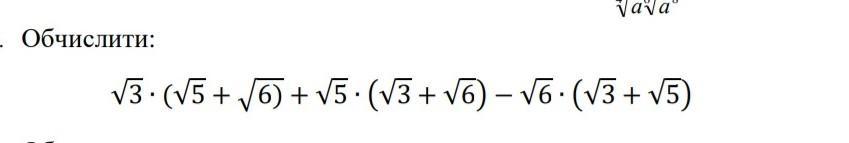
Допоможіть будь ласка даю 30 балів ​

Приложения:

Ответы

Ответ дал: dankon044
0
короче я хз вот ответ а если расписать то
Приложения:

Аноним: мені просто потрібно що було розписано
Ответ дал: nuriievayes
1

Ответ:

вот держи

Объяснение:

Приложения:
Вас заинтересует