Ответы
Ответ дал:
1
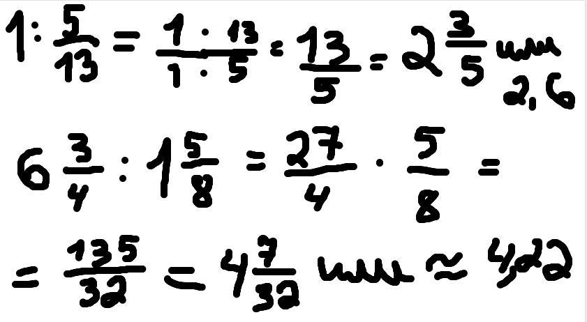
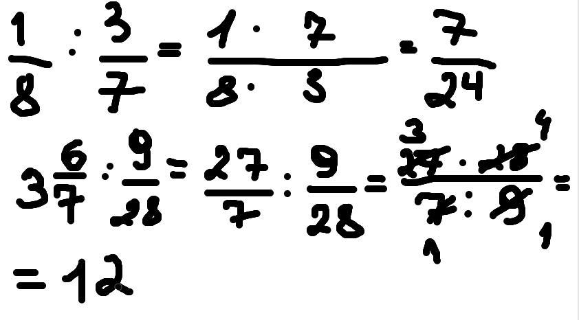
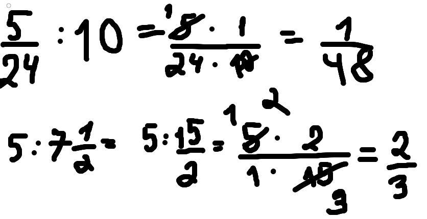
Ответ:
Ответ на фото.
Пошаговое объяснение:
Приложения:





Вас заинтересует
1 год назад
1 год назад
1 год назад
3 года назад
8 лет назад