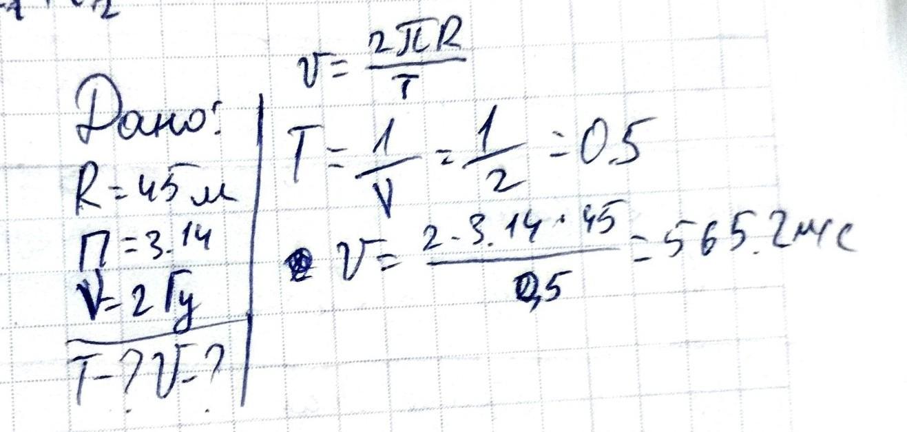
Знайдіть швидкість обертання колеса велосипеда радіусом 45м , якщо частота обертання колеса 2 оберти за секунд.
СРОЧНО НАДА ПОМОЖІТЬ ПОЖАЛУСТА
Ответы
Ответ дал:
2
Ответ:
якось так...............
Приложения:

Вас заинтересует
1 год назад
1 год назад
1 год назад
3 года назад
8 лет назад