Ответы
Ответ дал:
1
Отве
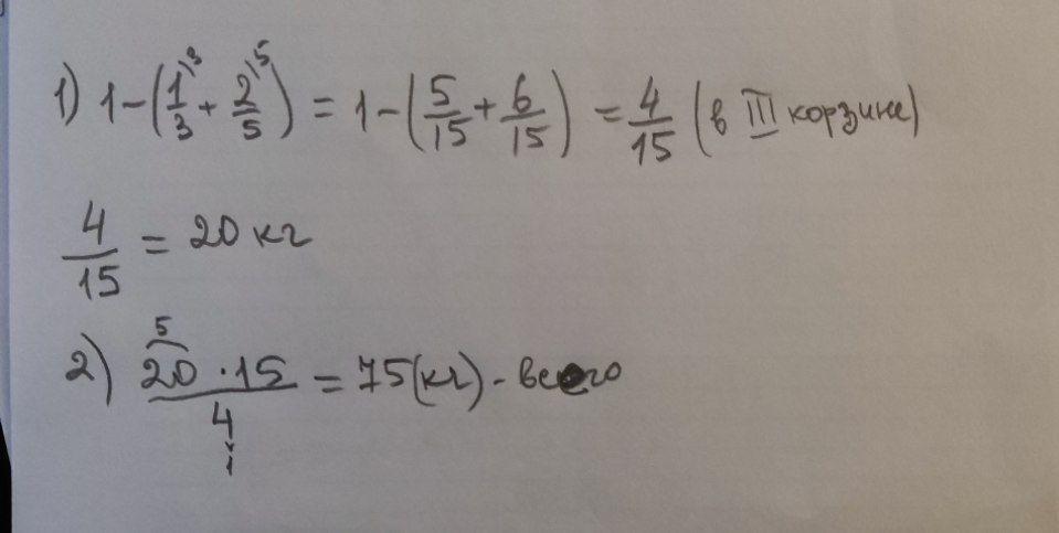
Пошаговое объяснение:
Приложения:

yarashova22:
Спасибо. Можно объяснить пожалуйста , а то я просто так не понимаю. Я бы хотя бы понял.
Вас заинтересует
1 год назад
1 год назад
1 год назад
3 года назад
3 года назад