• Предмет: Физика
  • Автор: ine215816
  • Вопрос задан 2 года назад

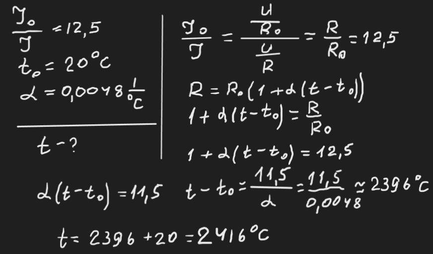
Завдання 4.Сила струму у вольфрамовiй нитці лампи розжарювання в момент увімкнення лампи у 12,5 разу перевищує силу робочого струму. 1.(1 бал) Опір нитки розжарення під час нагрівання: a) не змінюється; б) увесь час збільшується; в) увесь час зменшується;​2.(2бали) Обчисліть температуру нитки розжарення лампи в робочому стані ,якщо в момент увімкнення її температура становить 20°С


ine215816: допоможіть !!!!

Ответы

Ответ дал: zybkov1950
1

Відповідь: 1. б) увесь час збільшується

                  2.  ≈ 2416⁰С

Пояснення: 1. Оскільки сила струму у вольфрамовiй нитці лампи розжарювання в момент увімкнення лампи у 12,5 разу перевищує силу робочого ( в нагрітому стані) струму, то з закону Ома (I=U/R) випливає,що у холодному стані її опір  у 12,5 разів менший за опір

в нагрітому стані. Отже, під час нагрівання опір нитки розжарення збільшується.

2. Див. додаток

Приложения:
Вас заинтересует