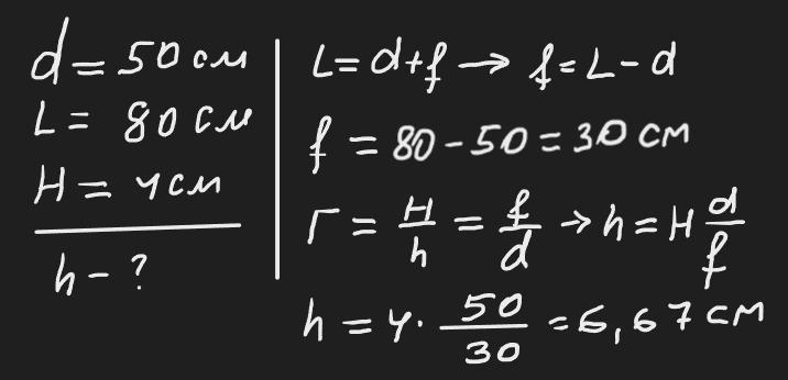
Визначте висоту предмета якщо він розташований на відстані 50 см від лінзи, а відстань між предметом і екраном дорівнює 80 см. Висота зображення предмета 4 см
Ответы
Ответ дал:
5
Відповідь: ≈ 6,67 см
Пояснення:
Приложения:

Вас заинтересует
1 год назад
1 год назад
3 года назад
8 лет назад