СРОЧНО!!
Електричну лампу опором 240 Ом, розраховану на напругу 120 В, тре- ба підключити в електричне коло з напругою 220 В. Якої довжини ніхромовий провідник з площею поперечного перерізу 1,1 мм² треба підключити послідовно з ламплю
Ответы
Ответ дал:
0
220В-120В=100В,
I=U/R1=220/240=0.5A,
R2=100*0.5=200 Om,
200=po*L/S, L=R*S/po=200*0.55/1.1=100м
Відповідь: L=100м.
horny1meet:
не правильно, у меня в задаче нет 0,55
Ответ дал:
1
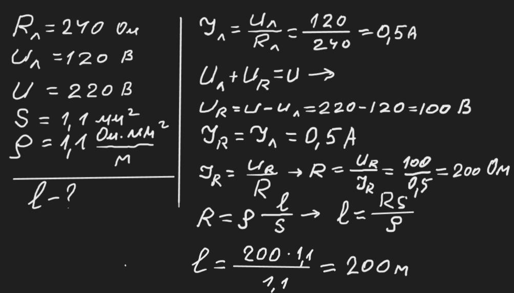
Відповідь: 200 м
Пояснення:
Приложения:

Вас заинтересует
1 год назад
1 год назад
3 года назад
8 лет назад