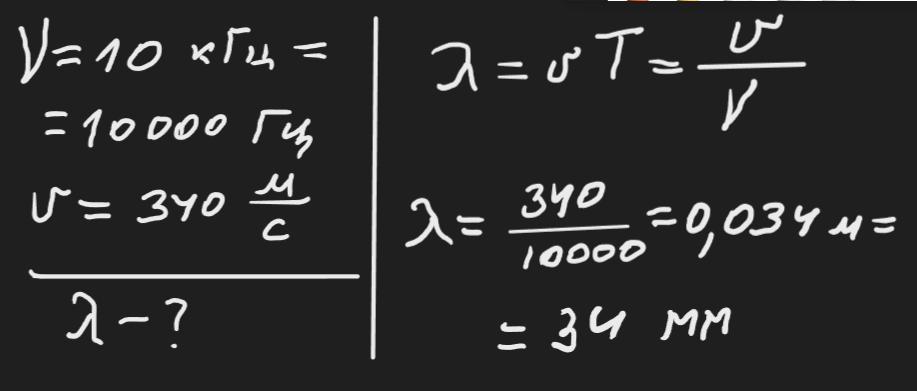
хелпаните плиз с обьяснением ибо я чайник! Визначте довжину звукової хвилі частотою 10 кГц у повітрі, якщо швидкість звукової хвилі в повітрі = 340 м\с.
Ответы
Ответ дал:
3
Відповідь: 34 мм
Пояснення:
Приложения:

Аноним:
Пожалуйста.Помоги мне с заданием.Отдам 100 баллов
Вас заинтересует
1 год назад
1 год назад
1 год назад
1 год назад
3 года назад
8 лет назад