Ответы
Ответ дал:
0
Ответ: все є на
Объяснение:
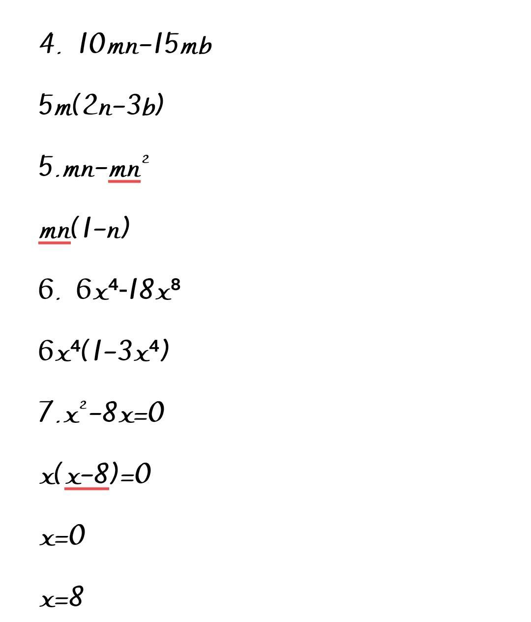
Приложения:

Вас заинтересует
1 год назад
1 год назад
1 год назад