• Предмет: Алгебра
  • Автор: konstantinovserega77
  • Вопрос задан 2 года назад

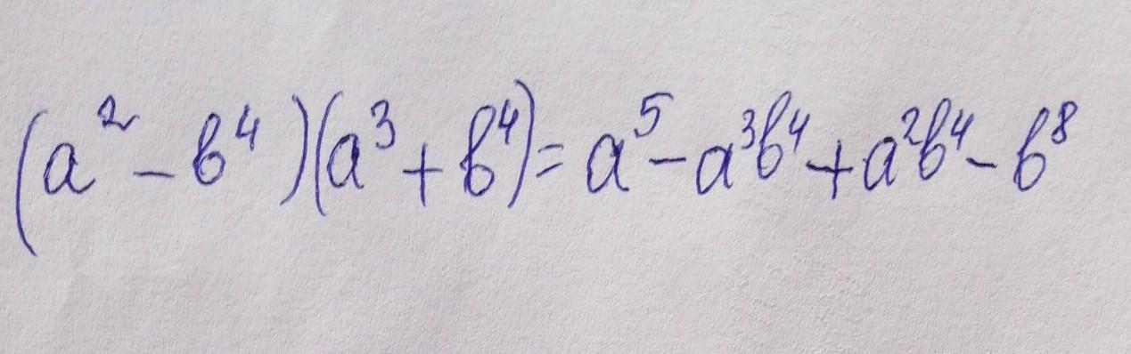
А в 2степени-в в 4 степени) (а 3 степени +В в 4 степени =

Ответы

Ответ дал: msv93
0

Объяснение:

В следующий раз делай фото задания. Так легче понять, что надо сделать.

Приложения:
Вас заинтересует