Ответы
Ответ дал:
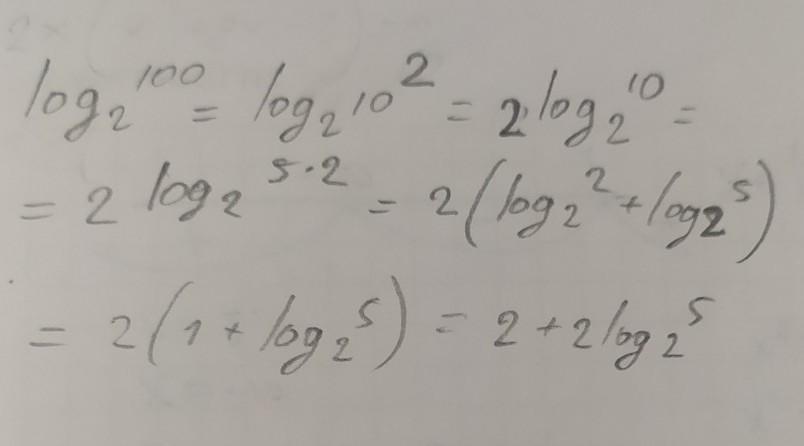
1
Объяснение:
Ответ выше если нужно подробное решение по буквам то пиши
Приложения:

Вас заинтересует
1 год назад
1 год назад
3 года назад
3 года назад