• Предмет: Математика
  • Автор: yg8pfkf8dx
  • Вопрос задан 2 года назад

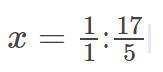
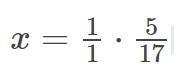
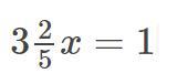
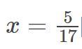
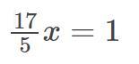
3 2/5 * x =1 нужно срочно решение

Ответы

Ответ дал: olimpiadsUser
0

Ответ и пошаговое объяснение:

Приложения:
Ответ дал: gusejnovazulfia29
0

Ответ:

Ну вот,вроде бы так,надеюсь правельно

Приложения:
Вас заинтересует