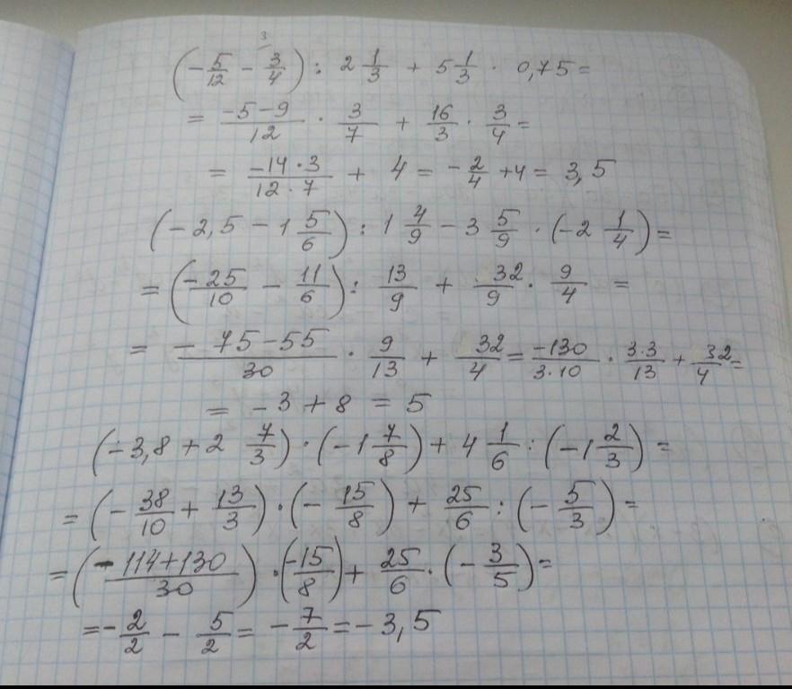
615.Вычислите
1) (-5/12-3/4):2 1/3+5 1/3·0,75=
2)(-2,5-1 5/6):1 4/9-3 5/9·(-2 1/4==
3)(-3,8+-2 1/3)·(-1 7/8)+4 1/6:(-1 2/3)=
ПОМОГИТЕ ПЖ ПЖ ПЖ ДАЮ 15 БАЛОВ
Ответы
Ответ дал:
2
1) 7/2; 2) 37/9; 3) 9
koreanlok830:
Не правильно
Ответ дал:
5
Смотри решения на фото.
Приложения:

Вас заинтересует
1 год назад
1 год назад
1 год назад
1 год назад
3 года назад
3 года назад
8 лет назад