• Предмет: Физика
  • Автор: aysti
  • Вопрос задан 2 года назад

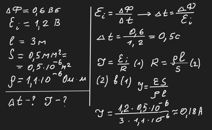
Під час рівномірної зміни магнітного потоку, що пронизує контур провідника, на 0,6Вб ЕРС індукції у контурі становила 1,2В. Визначити проміжок часу, коли відбувалася зміна магнітного потоку. Визначити, якою була сила струму у контурі, якщо він виготовлений з ніхромового дроту довжиною 3м і площею перерізу 0,5мм2. ( ρ= 1,1.10-6Ом.м).

Ответы

Ответ дал: zybkov1950
1

Відповідь:      0,5 с      ≈ 0,18 А

Пояснення:

Приложения:
Вас заинтересует