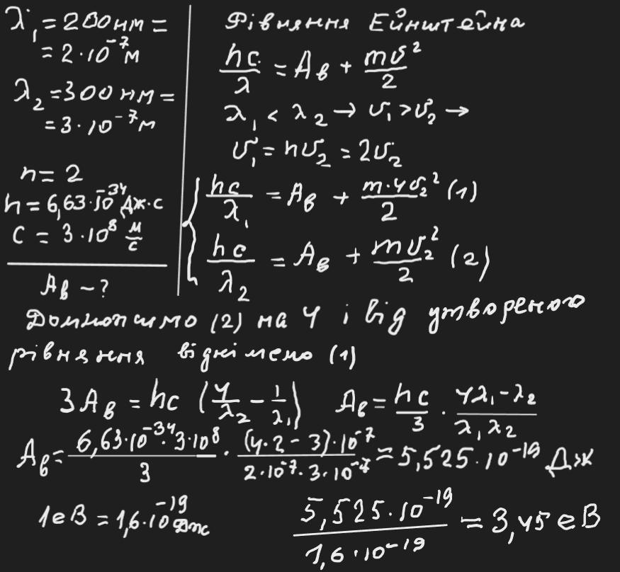
При зміні довжини хвилі падаючого випромінювання від 200 до
300 нм максимальна швидкість фотоелектронів змінилася в два рази.
Знайдіть роботу виходу електронів для даного матеріалу. Маса
фотоелектрона дорівнює 9,1*10^-31кг. Відповідь записати у електрон-вольтах
Ответы
Ответ дал:
1
Відповідь: ≈ 3,45 еВ
Пояснення:
Приложения:

Вас заинтересует
1 год назад
1 год назад
1 год назад
1 год назад
3 года назад
3 года назад
8 лет назад