• Предмет: Алгебра
  • Автор: demchenkoanna362
  • Вопрос задан 2 года назад

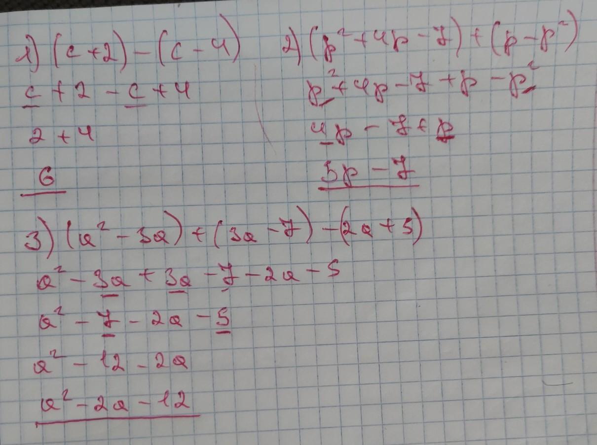
Спростіть вираз: (c + 2) - (c - 4); 2)
(p² + 4p - 7) + (p - p²);
(a²-3a) + (3a-7) - (2a + 5). ​​

Ответы

Ответ дал: 2006gamaua
0

Ответ:

відповідь і рішення дивися на фото

Приложения:
Вас заинтересует