• Предмет: Алгебра
  • Автор: annassttassie
  • Вопрос задан 2 года назад

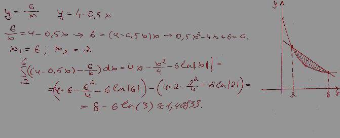
Знайдіть площу фігури, обмеженої графіками функцій
y=6/x і y=4-0,5x

Ответы

Ответ дал: yevheniiavz
0

дивіться фото........................

Приложения:
Вас заинтересует