• Предмет: Математика
  • Автор: Аноним
  • Вопрос задан 2 года назад

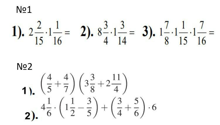
зделайте пж два номера ​

Приложения:

Ответы

Ответ дал: bayankhuubanzragch58
0

Ответ:

1)2 4/15 2) 10 5/8 3) 2 7/8

1) 11 1/7 2) 3 7/12

Ответ дал: ucilka0604
0

Ответ:

Пошаговое объяснение:

Приложения:
Вас заинтересует