• Предмет: Алгебра
  • Автор: evangelinamigal1
  • Вопрос задан 2 года назад

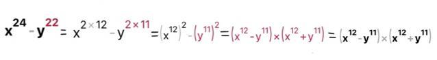
x²⁴-y²²
Різниця квадратів двох виразів​

Ответы

Ответ дал: yt0845004
0

Ответ: я не знаю украинский

Объяснение:

Ответ дал: grapetea8642
1
* Заполняю до 20 символов*
Приложения:
Вас заинтересует