• Предмет: Алгебра
  • Автор: rom4iikkk
  • Вопрос задан 2 года назад

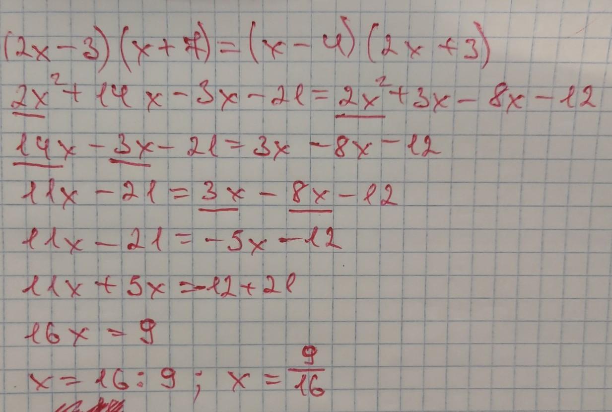
Розв'яжіть рiвняння: (2x -3)(x +7) =(x -4)(2x +3)​

Ответы

Ответ дал: 2006gamaua
2

Ответ:

ответ смотри на фотографии

Приложения:

rom4iikkk: Спосибо ❤️❤️❤️❤️
Вас заинтересует