Ответы
Ответ дал:
0
""""""""""""""""""""""""""""""""
Приложения:
Ответ дал:
0
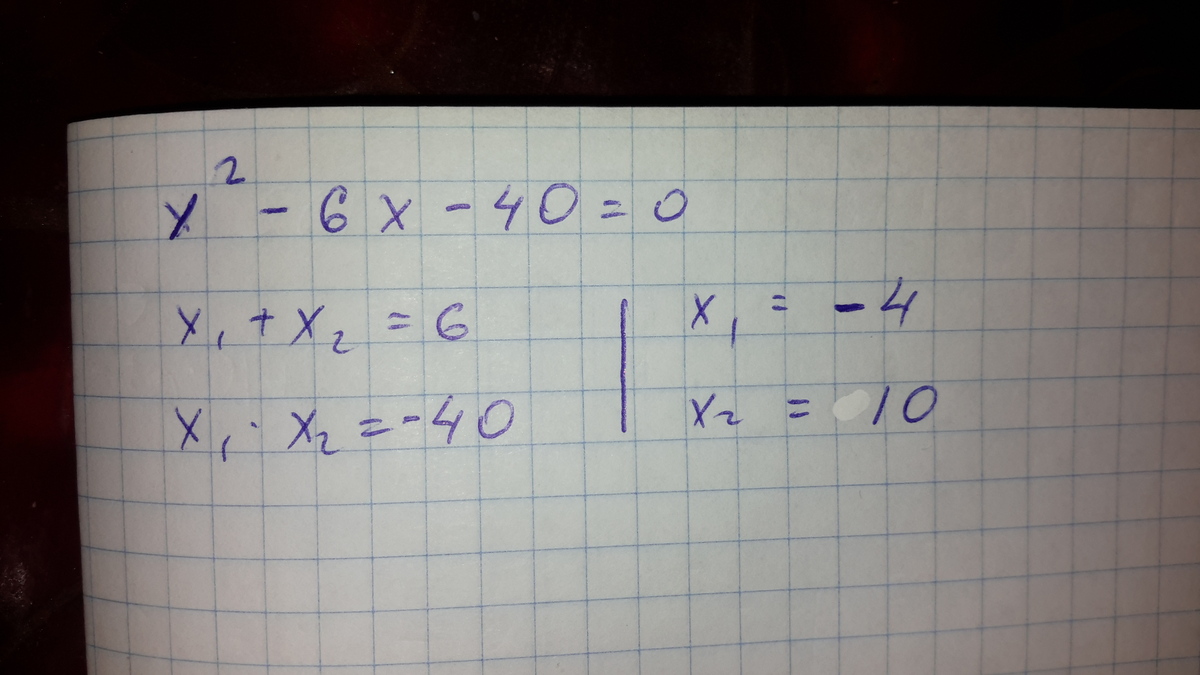
X^2 - 6X - 40 = 0
D = 36 - 4*1*(-40) = 36 + 160 = 196
V D = 14
X1 = ( 6 + 14 ) : 2 = 10
X2 = ( - 8 ) : 2 = ( - 4 )
Ответ 10 и ( - 4 )
D = 36 - 4*1*(-40) = 36 + 160 = 196
V D = 14
X1 = ( 6 + 14 ) : 2 = 10
X2 = ( - 8 ) : 2 = ( - 4 )
Ответ 10 и ( - 4 )
Приложения:
Вас заинтересует
3 года назад
3 года назад
8 лет назад
11 лет назад
11 лет назад
11 лет назад