• Предмет: Физика
  • Автор: asmin0838
  • Вопрос задан 2 года назад

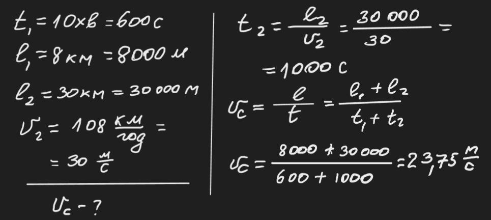
Визначити середню швидкість автомобiля (в одиницях системи Cl) який за перші 10 хв проїхав 8 км, а наступні 30 км він рухався з швидкістю 108 км/год.​

Ответы

Ответ дал: zybkov1950
1

Відповідь: 23,75 м/с

Пояснення:

Приложения:

Аноним: Добрий день. Допоможіть мені будь ласка з фізикою, завдання у моєму профілі. Буду дуже вдячна!
Вас заинтересует