• Предмет: Биология
  • Автор: melnikovaolga1
  • Вопрос задан 10 лет назад

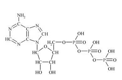
1. На рисунке показана химическая формула молекулы

1) нуклеотида ДНК
2) нуклеотида РНК
3) аминокислоты
4) АТФ

Приложения:

Ответы

Ответ дал: AnbionAnbion
0
Аденозин трифосфат (АТФ) ух, надеюсь не ошибся с названием, но суть понятна

Вас заинтересует