• Предмет: Физика
  • Автор: wonkierleeway0l
  • Вопрос задан 2 года назад

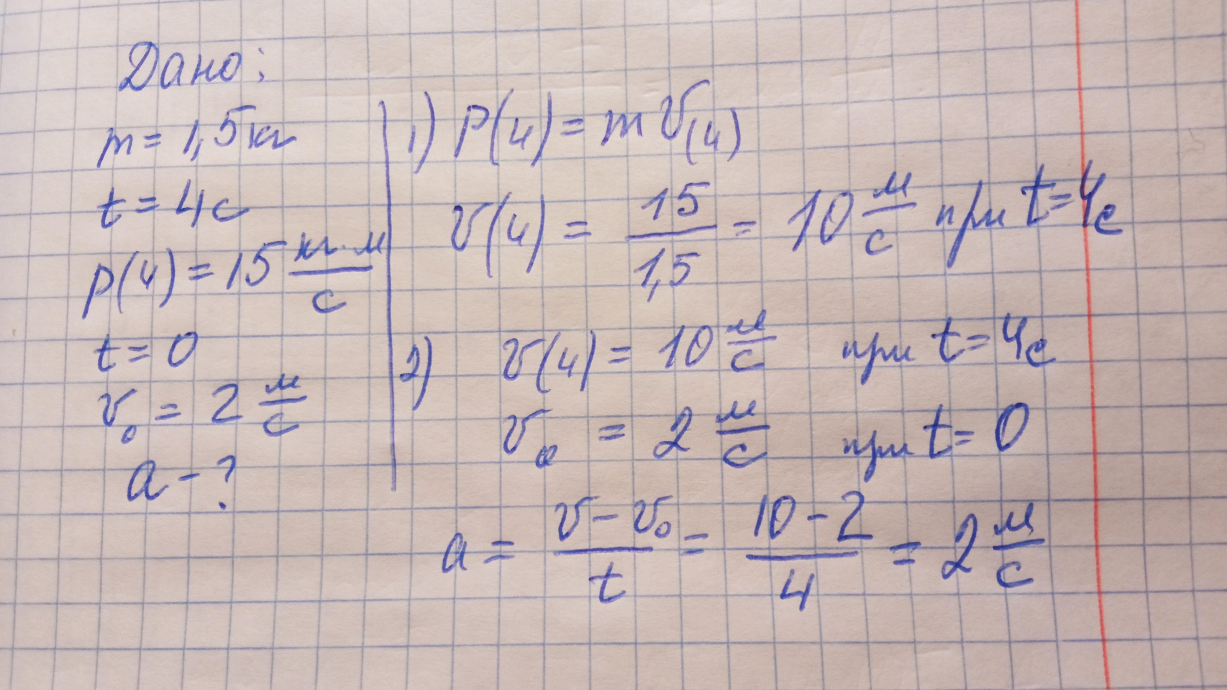
Тело массой 1,5 кг движешься равноускоренно с ускорением (a) и в момент времени 4 с имеет импульс 15 кг*м/с. Начальная скорость тела V0=2 м/с. Определите значение ускорения (a). Вектор начальной скорости тела и вектор ускорения сонаправленны

Можно, пожалуйста, с дано, найти, решением, со всеми законами (в векторной или обычной форме, если нужно)

Ответы

Ответ дал: Cohendd
1

Ответ:

Объяснение:..........

Приложения:

wonkierleeway0l: Здравствуйте, можете, пожалуйста, помочь с задачей в профиле?
Cohendd: Сделала. Только пришла.
Cohendd: а=2 м/с²))
Cohendd: Вы просите лучших наших физиков, Вам решают, но Вы никому не отмечаете лучший ответ. А с нас требуют 50 ЛО в месяц.
wonkierleeway0l: Здравствуйте, под всеми вашими решениями отметила лучший ответ) Для этого нужно же было поставить 5 звёзд? Это и есть лучший ответ?
Cohendd: Нет. Там значок в виде короны.
Вас заинтересует