• Предмет: Геометрия
  • Автор: мискамррр
  • Вопрос задан 11 лет назад

найти объём шара, если диаметр равен 12

Ответы

Ответ дал: IСтудентI
0

V=4/3*πR^3=1/6*πd^3=288π

Ответ дал: Юлe4ка
0

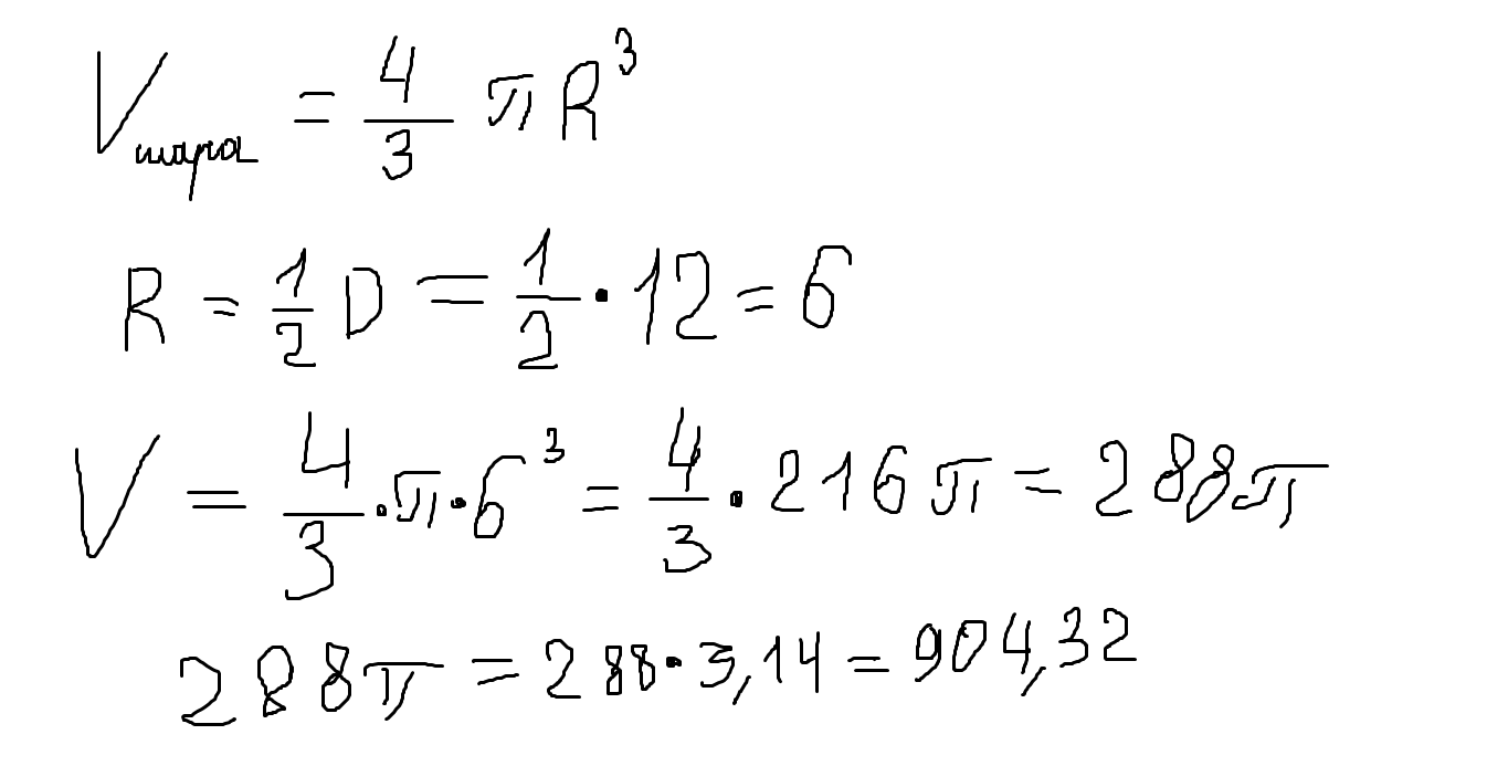
решение задачи во вложении)))

Приложения:
Вас заинтересует