• Предмет: Математика
  • Автор: Аноним
  • Вопрос задан 2 года назад

Помогите пж дам 15 балов

Приложения:

Ответы

Ответ дал: himikomat
1

Ответ:

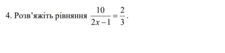
 \frac{10}{2x - 1}  =  \frac{2}{3}

2x - 1 = 0

x =  \frac{1}{2}

 \frac{10}{2x - 1}  =  \frac{2}{3} .x≠ \frac{1}{2}

10 \times 3 = 2(2x - 1)

30 = 2(2x - 1)

30 \div 2 = 2(2x - 1) \div 2

15 = 2x - 1

 - 2x =  - 1 - 15

 - 2x =  - 16

 - 2x \div ( - 2) =  - 16 \div ( - 2)

x = 8.x≠ \frac{1}{2}

 x = 8

Ответ дал: fraylifar
1

x= 8

розв'язання на фото

Приложения:
Вас заинтересует