• Предмет: Алгебра
  • Автор: sdhjfsdhjfsdhjfhj
  • Вопрос задан 2 года назад

ОТДАЮ ВСЕ БАЛЛЫ! СДЕЛАЮ ЛУЧШИМ ОТВЕТОМ!
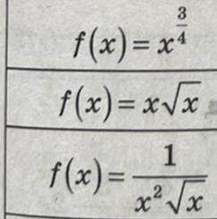
Найдите первообразную функций:

Приложения:

MizoriesKun: Это же табличные значения
sdhjfsdhjfsdhjfhj: Я в алгебре не разбираюсь, помогите пожалуйста :(
sdhjfsdhjfsdhjfhj: какие это значения? F(x) =

Ответы

Ответ дал: MizoriesKun
1

Смотри................

Приложения:
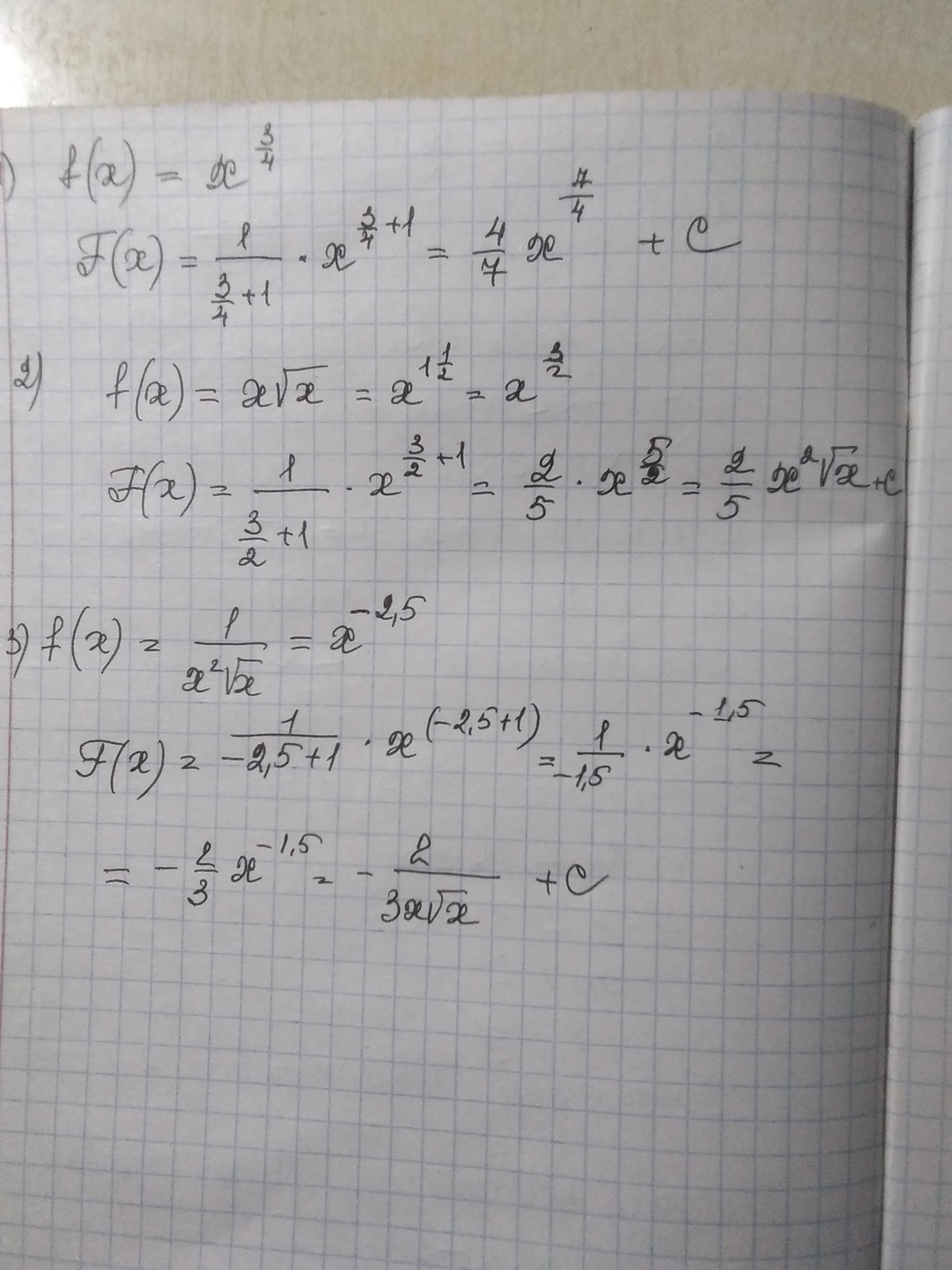
Ответ дал: Universalka
1

\displaystyle\bf\\1)\\\\f(x)=x^{\frac{3}{4} } \\\\F(x)=\frac{4}{7} x^{\frac{7}{4} } +C\\\\\\F(x)=\frac{4}{7} \sqrt[4]{x^{7} } +C\\\\\\\boxed{F(x)=\frac{4}{7} x\sqrt[4]{x^{3} } +C}\\\\\\2)\\\\f(x)=x\sqrt{x} =x\cdot x^{\frac{1}{2} } =x^{\frac{3}{2} } \\\\\\F(x)=\frac{2}{5} x^{\frac{5}{2} } +C\\\\\\F(x)=\frac{2}{5} \sqrt{x^{5} } +C\\\\\\\boxed{F(x)=\frac{2}{5} x^{2} \sqrt{x} +C}\\\\3)

\displaystyle\bf\\f(x)=\frac{1}{x^{2} \sqrt{x} } =\frac{1}{x^{2} \cdot x^{\frac{1}{2} } }=\frac{1}{x^{\frac{5}{2} } } =x^{-\frac{5}{2} }  \\\\\\F(x)=-\frac{2}{3} x^{-\frac{3}{2} } +C\\\\\\F(x)=-\frac{2}{3} \cdot \frac{1}{x^{\frac{3}{2} } } +C\\\\\\\boxed{F(x)=-\frac{2}{3x\sqrt{x} } +C}

Вас заинтересует