• Предмет: Математика
  • Автор: polinaandrunik09
  • Вопрос задан 2 года назад

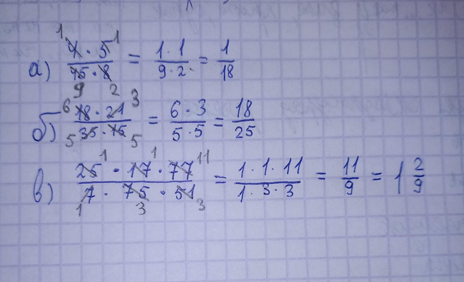
скороти дріб
а) 4*5/45*8
б) 18*21/35*15
в) 25*17*77/7*75*51​

Ответы

Ответ дал: stadniukliubo
38

Ответ:

а) 1/18

б)18/25

в)1(2/9) або 11/9

Приложения:

polinaandrunik09: а розв'язання яке?
polinaandrunik09: можеш написати?
stadniukliubo: так, можу, зачекайте
polinaandrunik09: дякую
stadniukliubo: написав пояснення
sergiivnavioletta66: спасибо
sofik025: Спасибо огромное!
mariyaromanova2012: Спасибо тебе, ты мне помог
zatyx091: Скажи будь ласка як ти це зробив?
tomuloyliya: Спасибо о лорд, ти мне очень помог, я не понял тему♡´・ᴗ・`♡
Вас заинтересует