• Предмет: Алгебра
  • Автор: ehruwveh385dhfkcnf46
  • Вопрос задан 2 года назад

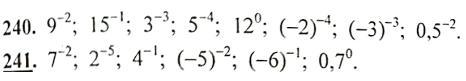
помогите пожалуйста !

Приложения:

Ответы

Ответ дал: tatsach
0

Ответ:

Объяснение:

......

Приложения:
Вас заинтересует