• Предмет: Алгебра
  • Автор: kurisenkot44
  • Вопрос задан 2 года назад

Срочно даю 50 балов нн

Приложения:

Ответы

Ответ дал: Universalka
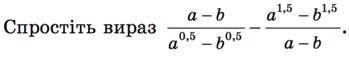
1

\displaystyle\bf\\\frac{a-b}{a^{0,5} - b^{0,5} } -\frac{a^{1,5} -b^{1,5} }{a-b} =\frac{(a^{0,5} )^{2}-(b^{0,5} )^{2}  }{a^{0,5} -b^{0,5} } -\frac{(a^{0,5} )^{3}-(b^{0,5} )^{3} }{(a^{0,5} )^{2} -(b^{0,5} )^{2} } =\\\\\\=\frac{(a^{0,5}-b^{0,5} )(a^{0,5} +b^{0,5} ) }{a^{0,5} -b^{0,5} } -\frac{(a^{0,5}-b^{0,5} )(a+a^{0,5} b^{0,5}+b)  }{(a^{0,5} -b^{0,5})(a^{0,5}  +b^{0,5} )} =

\displaystyle\bf\\=(a^{0,5} +b^{0,5} )-\frac{a+a^{0,5} b^{0,5}+b }{a^{0,5} +b^{0,5} } =\frac{(a^{0,5}+b^{0,5} )^{2}- (a+a^{0,5} b^{0,5}+b) }{a^{0,5} +b^{0,5} } =\\\\\\=\frac{a+2a^{0,5} b^{0,5} +b-a-a^{0,5} b^{0,5} -b}{a^{0,5} +b^{0,5} } =\frac{a^{0,5} b^{0,5} }{a^{0,5} +b^{0,5} }

Вас заинтересует