• Предмет: Алгебра
  • Автор: Standoff479
  • Вопрос задан 2 года назад

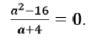
ДАЮ 25 БАЛЛОВ!! СРОЧНО РЕШИТЕ УРАВНЕНИЕ

Приложения:

MizoriesKun: Х= 4
Standoff479: А можно полное решение пожалуйста?
MizoriesKun: Числитель разложите по формуле разность квадратов, сократите и у вас останется уравнение 1 класса
Standoff479: ок спс

Ответы

Ответ дал: parus77
1

Ответ:

а=4

Объяснение: а²-в²=(а-в)(а+в)   по этой формуле раскладываем числитель

решение внизу

т.к на 0 делить нельзя,то знаменатель не должен быть равен 0

а+4≠0    а≠-4

Приложения:

Standoff479: благодарю
Qwertyi7: помогите пожалуйста
Вас заинтересует