• Предмет: Физика
  • Автор: derkachmykhailo65
  • Вопрос задан 2 года назад

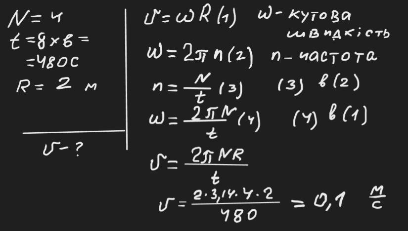
Платформа дитячої каруселі робить 4 повних оберти за 8 хвилин. Визначте лінійну швидкість точок платформи, віддалених від осі обертання на 2 метри. Відповідь округліть до одного знаку після коми і подайте у м/с.
Буду вдячний за правильне рішення

Ответы

Ответ дал: 555ai555
1

Ответ:

Объяснение:

N = 4

t =  8 хв 480 c

R =  2 м

V = ?

L = 2*п*R    длина обода

T = t / N      время одного оборота (период)

V = L / T = 2*п*R*N / t = 2*3.14*2*4 / 480 = 0.1 м/с

Ответ дал: zybkov1950
0

Відповідь: ≈ 0,1 м/с

Пояснення:

Приложения:
Вас заинтересует