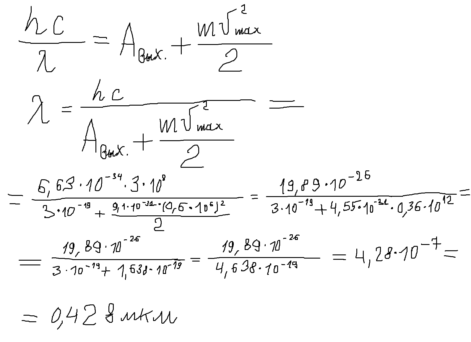
Работа выхода электрона из цезия равна 3*10^-19 Дж. Найдите длину волны падающего на поверхность цезия света, если скорость фотоэлектронов равна 0,6*10^6 м/с.
Ответы
Ответ дал:
0
решение задачи во вложении)))
Приложения:

Вас заинтересует
2 года назад
8 лет назад
10 лет назад
10 лет назад