• Предмет: Алгебра
  • Автор: vladislavvdovin031
  • Вопрос задан 2 года назад

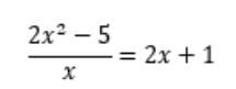
ДАЮ 50 БАЛЛОВ!!!! ПОМОГИТЕЕ КОРІНЬ РІВНЯННЯ ЗНАЙТИ

Приложения:

Ответы

Ответ дал: sashamakarov343
1

Ответ:

х=-5

Объяснение:

точно


vladislavvdovin031: а де розв'язок?
sashamakarov343: ответ есть, зачем тебе решение?
vladislavvdovin031: треба, сказали з розв'язком
Ответ дал: piavkaalinka
1

Ответ:

x= -5

Объяснение:

я не знаю как объяснить надо указывать класс


vladislavvdovin031: класс чого?
Вас заинтересует