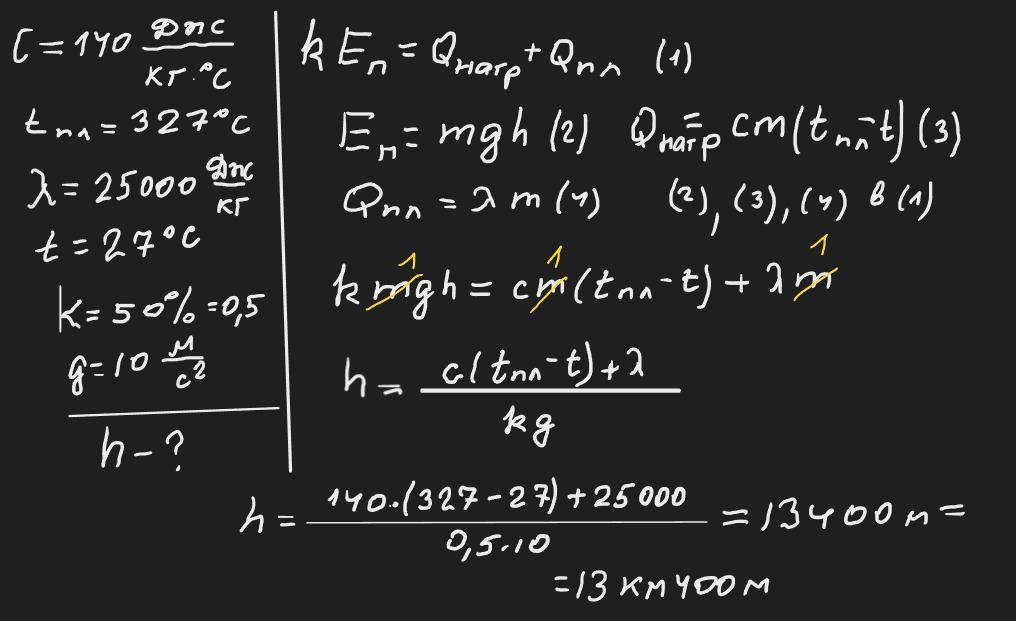
З якої висоти повинна впасти свинцева кулька, щоб під час удару об поверхню Землі повністю розплавитися? Початкова те- мпература кульки дорівнює 27 °С. Під час удару у внутрішню енергію перетворюється 50% механічної.
Ответы
Ответ дал:
4
Відповідь: 13 км 400 м
Пояснення:
Приложения:

Cohendd:
Доброго утра! И дня))
Вас заинтересует
3 года назад