• Предмет: Алгебра
  • Автор: eishkereoueoue
  • Вопрос задан 2 года назад

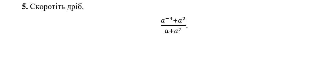
Скоротіть дріб. Дам 25 балів

Приложения:

Ответы

Ответ дал: anastasiapovolockaa2
1

ответ:1/а² ето правильно


anastasiapovolockaa2: 1/а²
Вас заинтересует