• Предмет: Алгебра
  • Автор: sana228rok
  • Вопрос задан 2 года назад

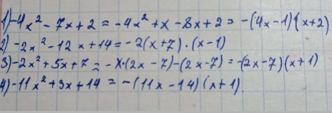
помогите пожалуйста СРОЧНО!!!​

Приложения:

Ответы

Ответ дал: alinatopcij154
1

объяснение: надеюсь помогла, и что поймёте мой почерк.

Приложения:
Вас заинтересует