Ответы
Ответ дал:
0
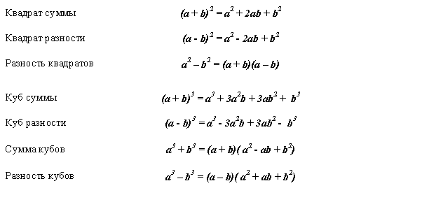
вот все формулы . выберай сам)удачи
Приложения:

Ответ дал:
0
а^2-b^2=(a-b)(a+b)
вот и формула сокращеного умножения
Приложения:

Вас заинтересует
2 года назад
2 года назад
8 лет назад
8 лет назад
10 лет назад
10 лет назад