• Предмет: Математика
  • Автор: rethongog
  • Вопрос задан 2 года назад

CРОЧНО ДАМ ВСЕ БАЛИ!!!

Приложения:

Ответы

Ответ дал: iramazurk
1

Пошаговое объяснение:

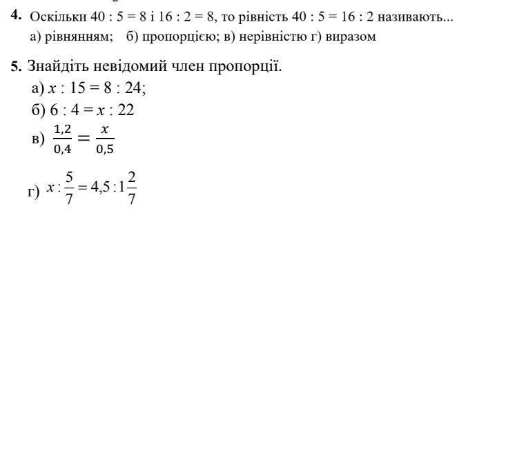
4

Б) Пропорцией

5

а)

х : 15 = 8 : 24

24 * х = 8 * 15

24х = 120

х = 120 : 24

х = 5

б)

6 : 4 = х : 22

4 * х = 6 * 22

4х = 132

х = 132 : 4

х = 33

в)

1,2/0,4 = х/0,5

0,4 * х = 1,2 * 0,5

0,4х = 0,6

х = 0,6 : 0,4

х = 1,5

г)

х : 5/7 = 4,5 : 1 2/7

1 2/7 * х = 4,5 * 5/7

9/7х = 45/10 * 5/7

9/7х = 45/2 * 1/7

9/7х = 45/14

х = 45/14 : 9/7

х = 45/14 * 7/9

х = 5/2 * 1/1

х = 5/2

х = 2 1/2

Вас заинтересует