• Предмет: Геометрия
  • Автор: Hohotyn2013
  • Вопрос задан 10 лет назад

решить 5 6 10 с решением рисунком дано и объяснением .

Приложения:

Ответы

Ответ дал: LastUser
0
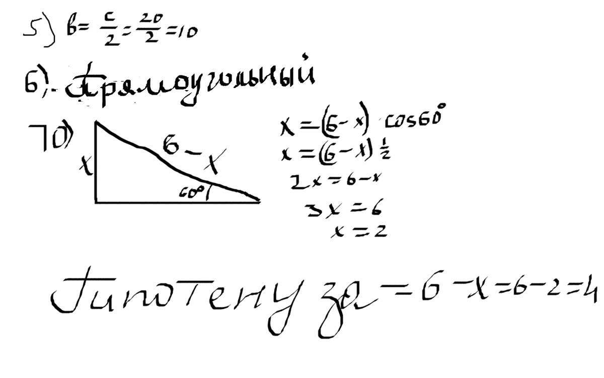
5) Длина катета(наименьший) находящегося напротив угла 30 градусов в 2 раза меньше гипотенузы. Ответ 10см
6) Ответ: прямоугольный
10) X= 6-X/2=4СМ

Ответ дал: Аноним
0
Решение во вложениях))))))))))))))))))))))))
Приложения:
Вас заинтересует